了解作物需水量,有利于我们更加精准的灌溉。
精准灌溉原则应该做到“得失平衡”,以大田种植为例,水分的主要失去方式为土地蒸发和作物蒸腾作用的消耗,被称作蒸发蒸腾量(简称腾发量,ET),灌溉的主要目的就是要补充失去的这部分水分,让土壤含水量保持平衡,以保持作物的健康生长,产生更有价值的产量。

为了标准化植物需水量的计算,某一作物的腾发量ETc可以由参考作物腾发量ET0乘以作物系数Kc获得,公式如下:
ETc = ET0× Kc
ETc表示目标作物的腾发量
ET0表示种草条件下的腾发量
Kc表示作物系数

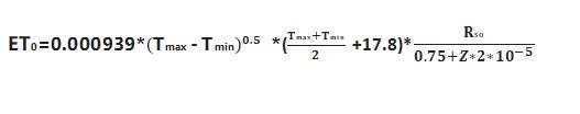
彭曼公式里的ET0,简单来讲就是土地的蒸发量。
这一数据可以根据气象站测得的温度、相对湿度、日辐射等计算得到,可以采用HS公式计算:

Tmax =日最高温度 ℃,
Tmin=日最低温度 ℃,
Rso=晴天太阳辐射 ,
Z为气象站海拔高度m
因此你的气象站必须具备这些功能才满足你精准计算你的ET0。博云八要素气象站,可以帮你很好地获取这些数据。

Kc 随着植物生长季节、植物品种、土壤湿度变化而变化,这一数据你可以从网站或者种植专家那里查询到。

将得到的两个数据相乘,就得出了你当天的需水量。因为ET0和 Kc数值不是定值,所以我们计算的是你作物在当天的需水量,也就是ETc,这样你的灌溉会非常科学精准。

值得注意的一点就是,如果当天有降雨,需要减掉降雨量。要实现精准的灌溉量,还要借助一定的设备才能确保我们不会过少或者过量。博云水肥一体化系统可以帮助到你,通过水肥机的控制中心设置你的灌溉策略,结合滴灌或者喷灌,准确定量的输送到植物生长区,整个过程你可以电脑或者手机APP远程操作,让灌溉变得简单又合理。


关于我们:
最新电子游戏平台,专注于水肥一体化设备,农业物联网工程,环境控制设备等灌溉设备的研发与生产,用先进技术赋能中国新农业,打造中国智慧农业样板,为加速农业向智能化、标准化、全球化发展步伐,贡献自己新力量。




